Неравенства, которые никто не решил!
Здравствуйте, друзья! А вы сможете решить эти уравнения?
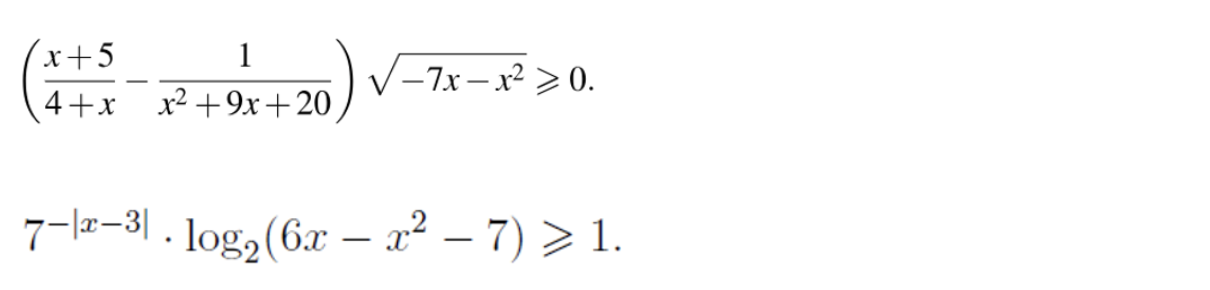
Неравенства, которые никто не умеете решать, конечно, есть! И не где-нибудь, а в курсе подготовки к ЕГЭ по математике. Их и искать не надо, сами найдутся! И хорошо, если на Тренировочной работе, а не на экзамене.
Только что мы в ЕГЭ-Студии провели Пробный ЕГЭ по математике. В нем было неравенство - без логарифмов, без степеней. И... почти никто его не решил так, как надо. И даже учителя и репетиторы - не все решили!
В ЕГЭ по математике неравенства однотипные. Показательное с заменой переменной да логарифмическое, тоже с заменой. Действуй по образцу, и готово. А если чуть-чуть в сторону от типовой задачи? Вот тут и начинаются проблемы.
На стриме 27 ноября покажем неравенства, которые в школьной программе есть, но почти никто их решать не умеет. Это неравенства с квадратным корнем, с модулем, а также тригонометрические. И конечно, "параметры"!
Начнем в 17.00 по московскому времени. Жмем на кнопочку, регистрируемся бесплатно!
Сразу после регистрации вы получите всю необходимую теорию по теме "Неравенства" Мы покажем вам правила и научим решать задачи. Стрим проведет Анна Малкова. Начнем 27 ноября в 17.00 по московскому времени.
А ещё у нас сегодня скидка 50% на Полный комплект методических материалов 9 - 11 классов для преподавателей. Годовые курсы ОГЭ и ЕГЭ + Марафон Как готовить к ЕГЭ-2026 + Марафон 1 часть всего 31 900 руб. 15 900 руб.! Повышение квалификации и экономия вашего времени. ОГЭ на пятерку, ЕГЭ на 100! Подробнее про комплект
Полный методический комплект 9-11 класс:
Комплект включает:
Курс "ЕГЭ 100 баллов ПРО для преподавателей"
Онлайн-марафон "Как готовить к ЕГЭ-2026"
Онлайн-марафон "Вспомнить всё (1 часть профиля)"
+ бонус: учебник Анны Малковой по 1 части!
Каждый день репетитору математики приходится решать множество сложных вопросов.
- Хочется вести мини-группы, но где взять материалы к занятиям? Нет времени делать их самостоятельно.
- Что делать с «нулевым» учеником, который пришел в конце ноября и хочет в мини-группу? А с группой прошли всю 1-ю часть ЕГЭ.
- Какую тему давать раньше – квадратный корень или модуль числа?
- Как рассказывать о производной, если ученик не понимает, что такое предел?
- Можно ли писать «ОДЗ» и если нет, то чем заменить?
Таких вопросов множество.
За 30 лет работы мне удалось найти на них ответы, и я готова с вами поделиться.
Ответы на все вопросы – в полном методическом комплекте, включающем Онлайн-курсы подготовки к ЕГЭ и ОГЭ. Плюс пакет дополнительных материалов!
Курс подготовки к ОГЭ
Для ребят на курсе подготовки к ОГЭ – онлайн-занятия каждую субботу, полный Учебник и Тренажер в онлайн-платформе, а также занятия с репетитором. Результат: ОГЭ на пятерку.
Для учителей и репетиторов – не только онлайн-занятия по субботам, но и полный пакет методических материалов. Он подойдет для преподавания как индивидуально, так и в мини-группах.
Это значит, что у вас будут готовые конспекты к каждому занятию, от сложения дробей до задач с параметрами (в разделе «Программа»). А также подборки задач, контрольные и пробные ОГЭ. Все это – с решениями!
НОВИНКА: Конспекты будут также доступны в цветной версии, в pdf.
Курс подготовки к ЕГЭ
Программа ОГЭ доступна даже начинающему репетитору. А вот о программе ЕГЭ такого не скажешь. Здесь репетитору, кроме желания преподавать, нужна серьезная подготовка.
Ведь ЕГЭ – это не только темы школьной программы, но и то, что «на экзамене есть, а в учебнике нет». Это «параметры» и задачи на числа и их свойства. Сложная теория вероятностей и многие другие темы. Как все это рассказать? В каком порядке?
Подготовка к ЕГЭ – большая ответственность для репетитора. Какие давать ДЗ и контрольные, чтобы ваш ученик не завалил экзамен?
Поэтому многие репетиторы и не берутся за ЕГЭ. Или ограничиваются только 1-й частью + «джентльменским набором». Или работают только индивидуально, а к группами перейти – сложно и страшно.
Мой курс «ЕГЭ на 100 баллов» (формат для учителей и репетиторов) – это возможность выйти на новый уровень преподавания.
- Решать все задачи ЕГЭ, включая самые сложные.
Потому что у нас будут онлайн-занятия каждую субботу и воскресенье по всем темам ЕГЭ. И 2 раза в месяц – методические мастер-классы для учителей и репетиторов. О том, как решать и как объяснять сложные темы и задачи.
- Также вы сможете экономить время, готовясь к урокам.
Не надо искать в 20 книгах и на 30 сайтах задачи к каждому занятию. В разделе «Программа» - готовые конспекты к каждому занятию. Полный Учебник и Тренажер в онлайн-платформе. А также подборки задач, контрольные и варианты ЕГЭ. Все это – с подробными решениями и ответами!
- Сможете работать не только индивидуально, но и с группами.
У вас будет полный комплект ДЗ по всем темам курса ЕГЭ, с подробными решениями и ответами.
И Пробные ЕГЭ каждый месяц, для проверки знаний ваших учеников (и для вас тоже).
- А еще Онлайн-курс для учителей и репетиторов – это возможность общения с единомышленниками.
В чате Онлайн-курса для учителей и репетиторов вы можете задать любой вопрос о методике преподавания. Вам отвечу я или другие преподаватели – участники курса.
А что же делать с учеником, который пришел к вам в ноябре-декабре с нулевыми знаниями и хочет сдать ЕГЭ/ОГЭ?
У нас тоже есть эта проблем! К нам тоже приходят в ноябре не только с нулевыми, но и с отрицательными знаниями! Например, при сложении дробей складывают числитель с числителем, а знаменатель со знаменателем.
Для таких ребят у нас есть марафон «Вспомнить всё». Всего 9 часов видео + домашние задания. Результат – повторение курса математики 5-10 класса.
Есть также моя книга «ЕГЭ по математике – с нуля до сложных задач». Это вся 1-я часть ЕГЭ. Удобно для повторения, всего 200 страниц – и все задания 1 части ЕГЭ.
И всё это - в нашем новом Полном методическом комплекте 9-11 класс! Сегодня со скидкой 50%. Не пропустите!














